
Speciale relativiteitstheorie
De speciale relativiteitstheorie is een natuurkundige theorie gepubliceerd door Albert Einstein in 1905. De theorie gaat ervan uit dat waarnemers in inertiaalstelsels die ten opzichte van elkaar een eenparige beweging uitvoeren niet kunnen bepalen wie van beiden een "absolute beweging" uitvoert en wie stilstaat. Het artikel in het wetenschappelijke tijdschrift Annalen der Physik van Einstein droeg de titel "Zur Elektrodynamik bewegter Körper" (Over de elektrodynamica van bewegende lichamen). De theorie heeft als postulaat dat de lichtsnelheid in vacuüm hetzelfde is voor alle waarnemers die met constante snelheid bewegen.
Later, in 1915, publiceerde Einstein de algemene relativiteitstheorie, waarin ook zwaartekrachtsvelden in beschouwing genomen worden.
Sovjet-Russische postzegel uit 1979, die Einstein eert en de formule E=mc² vermeldt.
Tot Einsteins tijd nam men met Newton aan dat er "absolute beweging" bestond, zodat rust en beweging twee van elkaar te onderscheiden toestanden zijn. Beweging werd beschouwd als het tegenovergestelde van "rust" (ether). De ether is het mediumwaarvan men tot en met de tijd van Ernst Mach dacht dat het de lege ruimte vulde en ook voorwerpen doordrong. Deze ether moest in de eerste plaats bestaan om het theoretisch mogelijk te maken dat licht zich voortplant door de lege ruimte. Licht was immers volgens Huygens en Fresnel een golf en golven hadden, zo meende men, een veerkrachtig medium nodig om zich in voort te planten. De lichtsnelheid ten opzichte van de ether zou dan een andere waarde hebben dan de lichtsnelheid die wij op aarde meten, omdat de aarde zich met een bepaalde snelheid door de ether beweegt. Dit in analogie met de situatie bij geluid, waar de snelheidten opzichte van de lucht constant is. Als een waarnemer zich op een rijdende wagen bevindt zal hij een andere geluidssnelheidmeten, dan wanneer de wagen stil zou staan.
Einstein onderzocht de wetten van Maxwell voor elektriciteit en magnetisme en bedacht dat het bijvoorbeeld voor de krachten niet mag uitmaken of je een metalen staaf in een magneetveld beweegt, of omgekeerd. Theoretisch komt dit in orde als de lichtsnelheid onafhankelijk van de beweging van de waarnemers is. Daarom postuleerde Einstein
de lichtsnelheid c heeft in elk inertiaalstelsel dezelfde waarde
in elk inertiaalstelsel gelden dezelfde natuurwetten.
Deze postulaten zorgden voor een revolutie in de opvattingen
over ruimte en tijd. Je weet niet of je stilstaat, dan wel met constante
snelheid beweegt. Je kunt ook niet meer spreken van ruimte, tijd en
dus snelheid als absolute entiteiten zoals Newton deed, maar alleen
van relatieve ruimte en tijd. De ether was daarmee overbodig geworden.
De lichtsnelheid is de grootst mogelijke snelheid en tevens de som van
de gecombineerde bewegingen van elk voorwerp door de ruimte én
door de tijd. Volgens het tweede postulaat kun je je absolute snelheid
nooit weten, dus is er tegenspraak. Deze theorie impliceert dus dat het
voor deeltjes met een rustmassa ongelijk aan nul onmogelijk is om de
snelheid van het licht te bereiken en dat bij snelheden die de snelheid
van het licht naderen, massa en tijd veranderen en wel op een manier
die tegen onze dagelijkse ervaring indruist.
Deze aannames waren door Einstein niet uit de lucht gegrepen: Galilei, Leibniz en Ernst Mach hadden
eigenlijk al een begin gemaakt wat relativiteit betreft. Galilei formuleerde al dat in een eenparig
bewegingssysteem dezelfde natuurwetten gelden als in een stilstaand systeem. Die aanname stuitte op
een probleem, toen men probeerde licht als elektromagnetische golf te beschrijven: men dacht dat er
een ether moest zijn, waarin die golf zich voortplantte, en dus zou er een 'absoluut' stilstaand referentiekader bestaan. Einstein bracht het relativiteitsprincipe terug en verbond er allerlei conclusies aan.
Hoe gek het ook klinkt, deze theorie was al voor het uitkomen ervan bewezen in het 'mislukte' experiment van Michelson en Morley om het bestaan van de ether aan te tonen. De Iers-Britse natuurkundige George FitzGerald en de Nederlandse natuurkundige Hendrik Lorentz hadden, voordat Einstein met zijn theorie kwam, al een eerste aanzet gegeven om dit te verklaren met de Lorentz-FitzGeraldcontractie: zij postuleerden dat voorwerpen die de lichtsnelheid naderen, verkort worden in de bewegingsrichting. Ook namen zij aan dat bewegende klokken vertraagd worden. In feite waren de belangrijkste formules van de speciale relativiteitstheorie hiermee al bekend. Einstein plaatste ze in een algemeen theoretisch kader, dat hij later nog verder zou uitbouwen tot de algemene relativiteitstheorie. Henri Poincaré had al eerder de lichtsnelheid aangemerkt als de maximale snelheid en aangegeven dat de lengte van tijdsintervallen op verschillende plaatsen relatief is. Dit alles werd gesystematiseerd in de speciale relativiteitstheorie.
De speciale relativiteitstheorie van Einstein (1905) beschrijft de beweging van objecten waar geen krachten op werken. Het gaat uit van twee postulaten:
Elke waarnemer die zich eenparig beweegt ondergaat dezelfde natuurwetten
De lichtsnelheid in vacuüm is onafhankelijk van de snelheid van de bron
Omdat het onder deze regels zo moet zijn dat een lichtstraal voor twee waarnemers die ten opzichte van elkaar bewegen toch dezelfde snelheid moet hebben, gelden de normale regels van de Newtoniaanse mechanica niet meer - volgens deze theorie zou iemand die zich in dezelfde richting beweegt als een lichtstraal een lagere snelheid moeten meten dan iemand die zich in tegenovergestelde richting beweegt.
Er gelden nieuwe regels om tijden, plaatsen - en dus afstanden - maar ook elektrische en magnetische velden van het ene naar het andere stelsel om te rekenen. De formules die tussen twee inertiaalstelsels heen en weer schakelen heten Lorentztransformatie. Deze wordt meestal als matrix L genoteerd en moet voldoen aan de volgende regel: LηLT = η, waarbij η de Minkowski-ruimtetijd-tensor is.
Gevolgen
Enkele gevolgen van deze postulaten zijn:
Tijd is niet universeel, maar is verschillend voor waarnemers die ten opzichte van elkaar bewegen;
Gelijktijdigheid is relatief: twee gebeurtenissen die volgens de ene waarnemer gelijktijdig gebeuren, kunnen volgens een andere waarnemer na elkaar gebeurd zijn
Tijd dilateert: voor jou loopt de tijd van stelsels die ten opzichte van jou bewegen, langzamer dan jouw eigen tijd.
Lengtes zijn relatief (de Lorentzcontractie): objecten die ten opzichte van jou bewegen, zijn voor jou korter dan dezelfde objecten wanneer ze stilstaan.
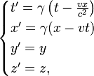
Voorbeeld: Er zijn twee stelsels, die met een snelheid v in de x-richting ten opzichte van elkaar bewegen. Tijd t en positiecoördinaten x, y, z worden door een waarnemer die met snelheid v beweegt als volgt gemeten als t' en x',y',z':
met de Lorentz-factor en de lichtsnelheid in vacuüm.
Kracht, impuls, energie en massa worden verschillend gemeten door waarnemers S en S' die ten opzichte van elkaar bewegen.
Dus een massa die snel beweegt ten opzichte van een waarnemer is toegenomen volgens die waarnemer. Ook de elektrische en magnetische velden worden verschillend gemeten in stelsels die ten opzichte van elkaar bewegen.
Snelheden kunnen niet zomaar worden opgeteld of afgetrokken, zoals in de Galileïse relativiteit. De som of het verschil van snelheden mag nooit boven de lichtsnelheid uitkomen. Als in het ene stelsel S een voorwerp beweegt met een snelheid w, dan meet een waarnemer in een ander stelsel met snelheid v in dezelfde richting ten opzichte van S een snelheid w' volgens
wat altijd onder de lichtsnelheid blijft
Versnellen tot een snelheid groter dan de lichtsnelheid c
is ook niet mogelijk.
Opgelet, dit betekent niet dat de relativiteitstheorie snelheden groter dan de lichtsnelheid uitsluit. Het betekent alleen dat de lichtsnelheid een soort grens is: voorwerpen die een initiële snelheid hebben die lager dan c is, kunnen niet versneld worden tot c of groter. Omgekeerd kunnen voorwerpen die een initiële snelheid hebben groter dan c niet vertraagd worden tot c of lager. Een hypothetisch elementair deeltje met een snelheid groter dan die van het licht is het tachyon.
Massa en energie zijn equivalent, in de zin dat ze met elkaar corresponderen, volgens de bekende formule: E=mc2. Soms is massa zelfs om te zetten in energie, zoals inchemische reacties en kernreacties.
Een Minkowski-diagram, genoemd naar de bedenker Hermann Minkowski, stelt ons in staat bizarre effecten zoals tijddilatatie en lengtecontractie op een kwalitatieve manier te begrijpen, zonder formules.
Veel voorkomende vergissingen
Hoewel de speciale relativiteitstheorie reeds meer dan 100 jaar oud is, wordt de theorie nog steeds beschreven als onderdeel van de moderne natuurkunde. Dit is vooral in contrast met de klassieke natuurkunde (ontwikkeld vóór 1900), die vrij veel fenomenen uit het dagelijks leven goed beschrijft en nog steeds een groot deel van het curriculum van de natuurkunde, gegeven in het middelbaar onderwijs, uitmaakt. Hoewel de speciale relativiteitstheorie een zekere vertrouwdheid vereist om deze echt te begrijpen, is de theorie niet onbegrijpelijk en geen sciencefiction. De theorie is reeds met verschillende experimenten rechtstreeks getest, en wordt veel gebruikt in een aantal toegepaste domeinen. (Zoals sterrenkunde, deeltjesfysica, GPS-navigatiesystemen, ... .)
Toen de kwantummechanica opkwam, was een aantal wetenschappers (zoals ook Einstein zelf) van mening dat deze de speciale relativiteitstheorie rechtstreeks tegensprak. Een schijnbare tegenstrijdigheid is de zogeheten EPR-paradox. Dit gedachte-experiment lijkt te suggereren dat de kwantummechanica toelaat dat informatie sneller reist dan het licht. Dat zou in tegenspraak zijn met de speciale relativiteitstheorie, welke stelt dat niets (en dus ook geen informatie) sneller kan reizen dan het licht. Een beter begrip van het experiment leidt echter tot de conclusie dat kwantummechanica wel aanleiding geeft tot correlaties tussen niet causaal gerelateerde gebeurtenissen, maar dit is niet hetzelfde als oorzakelijke verbanden. Op die manier spreken beide theorieën elkaar dus niet tegen.


